Pročitajte sve zahtjeve mladih sa protesta upućene vlastima
Učesnici masovnih protesta u Sarajevu, okupljeni pod parolom "Srednjoškolci, studenti, građani, sindikati – ZA SARAJEVO BEZ STRAHA!", objavili su zvanični dokument koji se dijeli na protestima na ulicama glavnog grada.
U dokumentu su taksativno, precizno i bez uvijanja navedeni zahtjevi upućeni institucijama vlasti u Kantonu Sarajevo. Traže se hitne ostavke, transparentna istraga o tramvajskoj nesreći, sloboda okupljanja te potpuna reorganizacija i spas javnog prijevoza.
U nastavku u cjelosti i bez intervencija prenosimo zvanične zahtjeve s dokumenta:

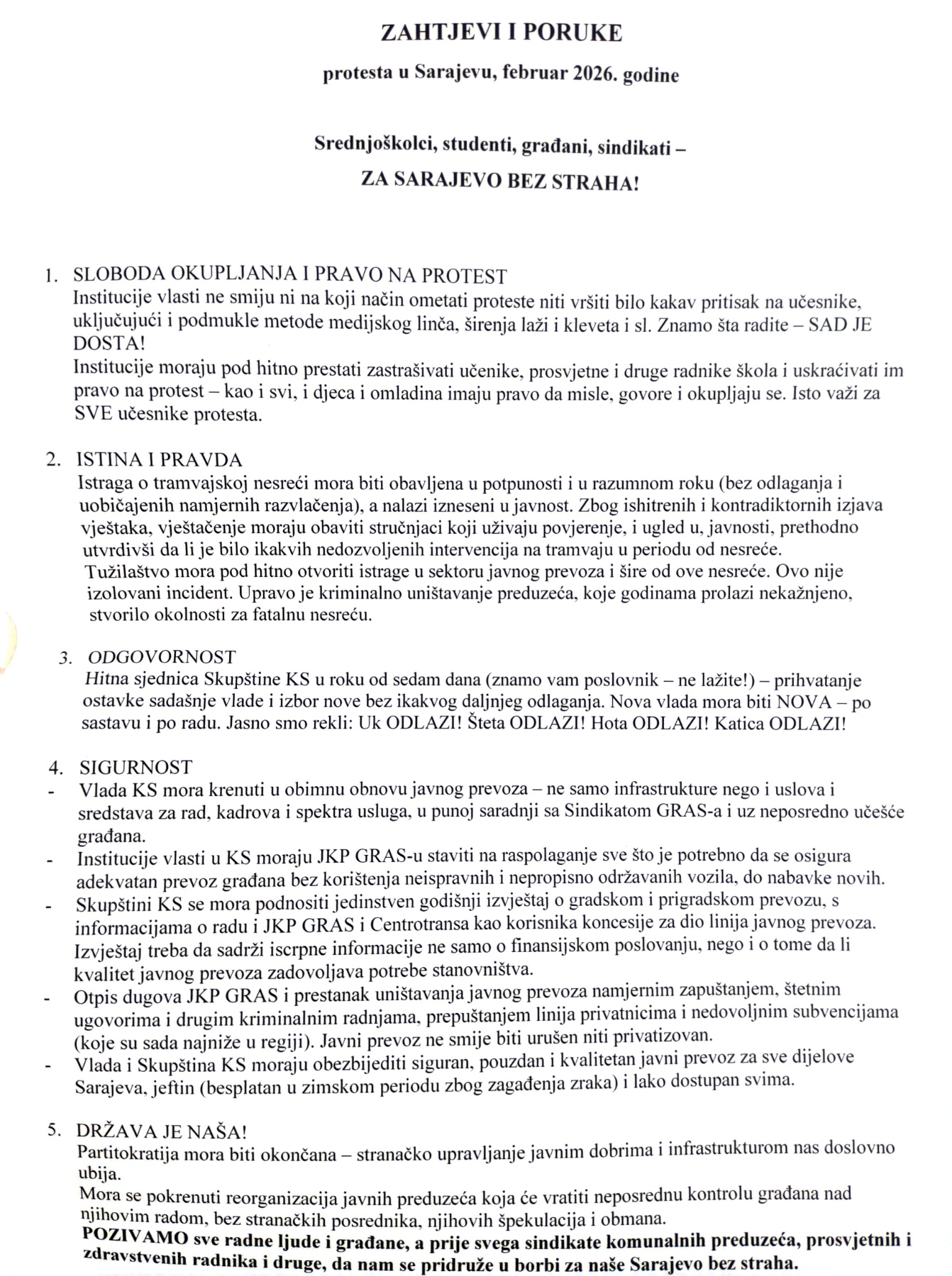
SLOBODA OKUPLJANJA I PRAVO NA PROTEST Institucije vlasti ne smiju ni na koji način ometati proteste niti vršiti bilo kakav pritisak na učesnike, uključujući i podmukle metode medijskog linča, širenja laži i kleveta i sl. Znamo šta radite – SAD JE DOSTA! Institucije moraju pod hitno prestati zastrašivati učenike, prosvjetne i druge radnike škola i uskraćivati im pravo na protest – kao i svi, i djeca i omladina imaju pravo da misle, govore i okupljaju se. Isto važi za SVE učesnike protesta.
ISTINA I PRAVDA Istraga o tramvajskoj nesreći mora biti obavljena u potpunosti i u razumnom roku (bez odlaganja i uobičajenih namjernih razvlačenja), a nalazi izneseni u javnost. Zbog ishitrenih i kontradiktornih izjava vještaka, vještačenje moraju obaviti stručnjaci koji uživaju povjerenje, i ugled u, javnosti, prethodno utvrdivši da li je bilo ikakvih nedozvoljenih intervencija na tramvaju u periodu od nesreće. Tužilaštvo mora pod hitno otvoriti istrage u sektoru javnog prevoza i šire od ove nesreće. Ovo nije izolovani incident. Upravo je kriminalno uništavanje preduzeća, koje godinama prolazi nekažnjeno, stvorilo okolnosti za fatalnu nesreću.
Zahtjevi demonstranata
ODGOVORNOST Hitna sjednica Skupštine KS u roku od sedam dana (znamo vam poslovnik – ne lažite!) – prihvatanje ostavke sadašnje vlade i izbor nove bez ikakvog daljnjeg odlaganja. Nova vlada mora biti NOVA – po sastavu i po radu. Jasno smo rekli: Uk ODLAZI! Šteta ODLAZI! Hota ODLAZI! Katica ODLAZI!
SIGURNOST
Vlada KS mora krenuti u obimnu obnovu javnog prevoza – ne samo infrastrukture nego i uslova i sredstava za rad, kadrova i spektra usluga, u punoj saradnji sa Sindikatom GRAS-a i uz neposredno učešće građana.
Institucije vlasti u KS moraju JKP GRAS-u staviti na raspolaganje sve što je potrebno da se osigura adekvatan prevoz građana bez korištenja neispravnih i nepropisno održavanih vozila, do nabavke novih.
Skupštini KS se mora podnositi jedinstven godišnji izvještaj o gradskom i prigradskom prevozu, s informacijama o radu i JKP GRAS i Centrotransa kao korisnika koncesije za dio linija javnog prevoza. Izvještaj treba da sadrži iscrpne informacije ne samo o finansijskom poslovanju, nego i o tome da li kvalitet javnog prevoza zadovoljava potrebe stanovništva, prenosi N1.
Otpis dugova JKP GRAS i prestanak uništavanja javnog prevoza namjernim zapuštanjem, štetnim ugovorima i drugim kriminalnim radnjama, prepuštanjem linija privatnicima i nedovoljnim subvencijama (koje su sada najniže u regiji). Javni prevoz ne smije biti urušen niti privatizovan.
Vlada i Skupština KS moraju obezbijediti siguran, pouzdan i kvalitetan javni prevoz za sve dijelove Sarajeva, jeftin (besplatan u zimskom periodu zbog zagađenja zraka) i lako dostupan svima.
DRŽAVA JE NAŠA! Partitokratija mora biti okončana – stranačko upravljanje javnim dobrima i infrastrukturom nas doslovno ubija. Mora se pokrenuti reorganizacija javnih preduzeća koja će vratiti neposrednu kontrolu građana nad njihovim radom, bez stranačkih posrednika, njihovih špekulacija i obmana. POZIVAMO sve radne ljude i građane, a prije svega sindikate komunalnih preduzeća, prosvjetnih i zdravstvenih radnika i druge, da nam se pridruže u borbi za naše Sarajevo bez straha.
Protesti još traju.